
আমাদের সকলেরই বীজগণিত শেখার সূচনা হয়েছিলো (a + b)2 = a2 + 2ab + b2 সূত্রটি শেখার মধ্যদিয়ে। (a + b)2 ছাড়াও (a + b)3 এর সূত্রটিও আমরা মুখস্ত করেছিলাম। সেই সময়ে এগুলোই মনে রাখতে অনেক কষ্ট করতে হয়েছিলো। এরকম আরো কিছু সূত্র রয়েছে।
(a + b)0 = 1
(a + b)1 = a + b
(a + b)2 = a2 + 2ab + b2
(a + b)3 = a3 + 3a2b + 3ab2 + b3
(a + b)4 = a4 + 4a3b + 6a2b2 + 4ab3 + b4
(a + b)5 = a5 + 5a4b + 10a3b2 + 10a2b3 + 5ab4 + b5
এই সুত্রগুলোকে বলে বাইনোমিয়াল এক্সপ্রেশন ।
আসুন এবার একটা ত্রিভুজের সাথে পরিচিত হওয়া যাক, যাকে বলা হয় Pascal's Triangle ।

এই ত্রিভুজটি ব্যবহার করে খুব সহজেই আমরা বাইনোমিয়াল এক্সপ্রেশন সমূহ মনে রাখতে পারবো। এখন দেখে নিন Pascal's Triangle কিভাবে গঠন করতে হয়।

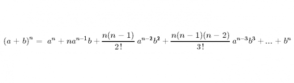
এই সূত্র গুলোর একটা সাধারণ ফরম রয়েছে।
(a + b)n = nC0an + nC1an − 1b + nC2an − 2b2 + nC3an − 3b3 + ... + nCnbn
অথবা

যেখানে
2!=(2)(1)=2
3!=(3)(2)(1)=6
n! = n(n − 1)(n − 2) ... (3)(2)(1)
আশা করছি অনেকেরই কাজে লাগবে। সবার জন্য শুভকামনা রইলো।
আমি অসীম কুমার পাল। বিশ্বের সর্ববৃহৎ বিজ্ঞান ও প্রযুক্তির সৌশল নেটওয়ার্ক - টেকটিউনস এ আমি 16 বছর 11 মাস যাবৎ যুক্ত আছি। টেকটিউনস আমি এ পর্যন্ত 147 টি টিউন ও 469 টি টিউমেন্ট করেছি। টেকটিউনসে আমার 17 ফলোয়ার আছে এবং আমি টেকটিউনসে 0 টিউনারকে ফলো করি।
আমি অসীম কুমার পাল। ইলেকট্রনিক্স এবং ওয়েব ডিজাইনকে অন্তরে ধারণ করে পথ চলতেছি। স্বপ্ন দেখি এই পৃথিবীর বুকে একটা সুখের স্বর্গ রচনা করার। নিজেকে একজন অতি সাধারণ কিন্তু সুখী মানুষ ভাবতে পছন্দ করি।
আগেই জানতাম, তবুও ধন্যবাদ।